最新的全球趋势表明,世界正在迅速转向电动汽车(EV)。因此,各大汽车公司都计划将大量生产转移到电动汽车上。
沃尔沃计划到2030年只销售电动汽车,莲花汽车到2028年,通用汽车到2035年。此外,像日本这样的国家计划到2025年完全转向电动汽车。
电动汽车最关键的部件之一是牵引逆变器。它直接影响到汽车的行驶经验、电池续航范围和车辆的整体安全。牵引逆变器的目的是将直流电源从电动汽车电池转换成交流电机,用于驱动车辆的推进系统。碳化硅基功率半导体的研究越来越多,以提高逆变器效率、开关频率、最大允许结温和系统功率密度。对于混合动力汽车,采用内燃机冷却电路冷却的高集成度逆变器是一个很好的解决方案,这使得额外的低温电力电子冷却电路变得可有可无。
本文是基于IEEE的研究论文“功率半导体的表征和可扩展建模与Si和SiC器件的牵引逆变器的优化设计”。在这篇文章中,我们的目标是研究的特点,比较的方法来计算热模型中的功率损耗,并了解所需的功耗和芯片面积为不同的Si和SiC设备,通过模拟的NEDC车辆设置参数。
Si和SiC器件进行比较分析的一些参数是:
1. 功率损耗
2. 设备建模约束
3. 用于更高频率的最小芯片面积
首先,我们将探讨一个混合电动汽车牵引逆变器与Si和SiC器件的最终输出的系统仿真。
该仿真采用了一个封装率为TJ(Max)=175◦C的汽车动力模块,典型的内燃机冷却液温度为TF=105◦C。电机的损耗决定了电流、电压和功率因数等影响因素。采用效率优化的转速-转矩查找表作为一种快速确定逆变器工作条件的方法。在不改变其电磁设计的情况下,考虑了每个直流环节电压的最小相位电流操作机器.针对混合动力汽车和电动汽车,提出了一种适合于动力模块冷却的流体冷却销翅片基板。另外还采用了19 mm2 KW的热转变电阻。
利用MATLAB/Simulink软件对以非线性电畴损耗模型为反馈的热畴瞬态模型的状态空间表示进行了仿真。
添加了带换挡的车辆物理模型,以便根据标准化驱动循环生成HEV牵引逆变器的任务配置文件。车辆选择的模拟是一个2500公斤的HEV-SUV的变速箱集成的永磁同步电机(PMSM)(32极,500牛米,60千瓦)模拟的操作条件为:
1. 恒定电池电压:
a.650伏IGBT的350伏电压
b.1200伏IGBT的700伏电压
c.700伏换1200伏D-mode-SiC-JFETs
2. 10 kHz开关频率
仿真模型结构的简要概述如下所示。

图1用于测试Si和SiC半导体牵引逆变器的仿真模型
逆变器和电机驱动新的欧式驱动循环(NEDC)的效率降低了SiC逆变器的损耗,特别是在部分负载时。

图2不同电力电子技术的逆变器输出到效率图
通过时域仿真和瞬态建模,对功率半导体的可靠性和寿命进行了测试,同时考虑了系统的负载分布和芯片面积的可能重新设计。RANFlow算法在热芯片时域响应中的应用是计算封装在运行过程中的热循环以估计寿命的最先进的方法。
此计算表明,芯片面积优化的Si和SiC逆变器之间没有显着差异。仿真模型也产生功率损耗,从半导体器件的能量消耗计算。Si和SiC器件的功率损耗为:

图3各种电力电子器件的仿真输出
通过NEDC模拟驱动实验,与硅器件相比,采用碳化硅器件可使牵引逆变器的能量损失降低70%,芯片面积减少66%。
除了NEDC模拟,我们还旨在研究不同的Si和SiC半导体器件的特性和比较分析:
1. 器件表征
用外部温度控制器建立了研究开关特性的实验室装置。栅极驱动器设计为提供±25V的可配置电压,最大峰值电流为1A。对于SiC-D-J-1200、SiC-E-J-1200和SiC-EOS-1200器件的开关曲线范围为:

图4 SiC-D-J-1200的半桥切换与电压、电流和结温的时间关系

图5 SiC-E-J-1200的半桥切换与电压、电流和结温的时间关系

图6 SiC-E-MOS-1200的半桥切换与电压、电流和结温的时间关系
各半桥的关断速度相对较快,坡度无显着性差异。
SiC-D-J-1200在高电流和温度下的反向恢复尖峰在SiC体二极管的导通期间变得显著。其结果是,由于陡峭的电流斜率,该设备引入一个适度的振铃到换向回路中,其达到关断斜率的速度。SiC-E-J1200显示几乎没有反向恢复行为,由于SiC JB S二极管。一个平坦的电压斜率的特点是它在接通。这会导致显著的开关损耗。的SiC-E-MOS-1200半桥显示了最快的导通伴随着最高的反向恢复尖峰,导致显着的整流环路振铃。
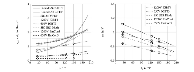
2. 热特性
下图显示了器件的差分面积归一化导通电阻的热特性。D模SiC-JFET、SiC-MOSFET和Si IGBT表现出平坦的热特性。与此同时,E型SiC-JFET显示在150°C以上的电阻急剧增加。两极与单极性SiC-JBS二极管相比,硅二极管的微分导通电阻几乎降低了一个数量级,处于SiC-FET的范围内。
SiC-JBS-二极管的电压偏移随着温度的升高而减小,与硅器件的所有电压偏移量一样。因此,SiC-JBS-二极管的电压偏移值在1200-V以下,高于650-V硅器件的温度范围。

图7不同器件的电阻与温度和电压与温度
栅驱动电流随芯片面积的变化而变化,换流回路的寄生电感呈反比变化。因此,将Si和SiC半桥与相同的晶片面积进行比较,表明Si半桥的开关损耗是Si半桥的5~10倍。
3. 热损失与半导体芯片面积

图8不同器件不同芯片面积的功率损耗
上图显示了400 V直流链路电压、173 A峰值相电流、175°C最高结温和10 kHz开关频率下不同芯片区域在设定临界工作条件下产生和耗散的热量。上述实验的结果得出结论,半导体器件的最小允许芯片面积由产生的功率和耗散的功率在芯片面积曲线上的交点给出。
对该最小芯片面积进行了数值计算。此外,还计算了不同开关频率和不同电池电压下60 kW混合动力汽车电动传动系统元件牵引逆变器的最小累积晶片面积。

图9不同开关频率和电池电压下芯片面积与直流链路电压的关系
为了消除额外的开关损耗,Si逆变器的开关频率越高,芯片面积越小。相反,对于SiC逆变器,只需要稍微增加芯片面积。就同一技术设备之间的比较而言,当开关频率大于5 kHz时,Si-E-I-0650技术比Si-E-I-1200技术性能更好。此外,SiC-D-J-1200和SiC-E-MOS-1200由于使用了体二极管,表现出类似的性能,超过了SiC-E-J-1200.
本文提出的NEDC实验的模拟驱动结果表明,Si功率半导体上SiC器件牵引逆变器的能量损耗为70%,芯片面积减少了66%。通过这篇论文,我们也给出了SiC半导体的损耗特性以及与直流环节电压、电流和结温的关系。